Research / Annual reports / Main research results of the Institute for Condensed Matter Physics of NAS of Ukraine in 2023
Main research results of the Institute for Condensed Matter Physics of NAS of Ukraine in 2023
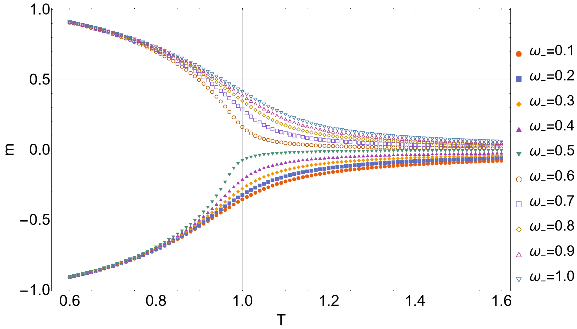
Biological groups can make effective collective decisions even in the absence of information about the state of the group or the environment. This property of theirs has inspired scientists from many fields, including the science of complex systems, to study this phenomenon. One of the methods used for this is the application of spin models from statistical physics. Recently, in the work of A.T. Hartnett et al., Phys. Rev. Lett. 116 (2016) 038701 a model was proposed in which individuals are described as Ising spins which also have an additional internal degree of freedom that describes their individual bias. This model was formulated at the algorithm level and, like most models of the cellular automaton type, was studied using computer simulations. In our work, two microscopic Hamiltonians were proposed, which reproduce certain properties of the Hartnett model. In the first case, the bias was introduced as a modification of the interaction termof the Hamiltonian. In the case of a complete graph, the free energy of this model reduces to the free energy of the Ising model with an external field. In the second case, the bias was introduced through the local magnetic field, which depends on the local magnetization and the bias of the individual. This model has a richer phase diagram. On the complete graph, we showed the existence of metastable states that disappear in the thermodynamic limit, but have a significant effect for systems of small size. In order to be able to compare theoretical results with simulations, stochastic noise was introduced into the Hartnett model, which allows comparison of systems with different noise levels to models at different temperatures. The results of the conducted simulations qualitatively completely match the theoretical predictions (P. Sarkanych, M. Krasnytska, L. Gómez-Nava, P. Romanczuk, Yu. Holovatch, Phys. Biol., 20, No. 4, 045005 (2023)).

Equilibrium magnetisation of the model with local magnetic field as a function of temperature for different biases towards the state s=-1. The plot shows the system with ρ0=0.7 unbiased individuals, ρ+=0.6 individuals biased towards +1 and ρ-=0.4 individuals biased towards -1. The bias towards the +1 state is ω+=1.5.
A functional surface comprising thermoresponsive poly(N-iso-propylacrylamide) (PNIPAM) chains is performed. As a motivation are available experimental works by the partners from the University of Georgia (USA) focused on the use of mixed polymer brushes for the thermocontrolled adsorption/desorption of colloids and cells. To achieve required scale, a mesoscopic modelling is used, based on the previous work by Soto-Figueroa et al., Soft Matter, 8, 1871 (2012). It mimics the principal feature of the PNIPAM, namely, the rapid change of its hydrophilicity at the lower critical solution temperature (LCST). For the case of an isolated chain, we discuss scaling properties of the radius of gyration, end-to-end distance, various distribution functions, and the density profile of monomers below and above the LCST. For the case of the model thermoresposive brush, we search for the optimal grafting density at which the change in brush height, upon crossing the LCST, reaches its maximum value. The interpretation of the thermoresponse, in terms of the Alexander-de Gennes blobs and the level of solvation of polymer chains in a brush, are provided (D. Yaremchuk, O. Kalyuzhnyi, J. Ilnytskyi, Condens. Matter Phys., 26, No. 3, 33302 (2023)).

Recently, underscreening in concentrated electrolytes was discovered in experiments and confirmed in simulations and theory. It was found that the correlation length of the charge-charge correlations, λs, satisfies the scaling relation λs/λD~(a/λD)n, where n=3, λD is the Debye screening length and a is the ionic diameter. However, different values of n were found in different studies. In this work we solve this puzzle within the mesoscopic theory that yielded n=3 in agreement with experiments, but only very high densities of ions were considered. We apply the theory to a broader range of density of ions and find that different values of n in the above scaling can yield a fair approximation for λs/λD for different ranges of a/λD. The experimentally found scaling holds for 2<a/λD<4, and we find n=3 for the same range of the reduced Debye length. For smaller a/λD, we find n=3 obtained earlier in several simulation and theoretical studies, and still closer to the Kirkwood line we obtain n=1.5 that was also predicted in different works (A. Ciach, O. Patsahan, J. Mol. Liq., 377, 121453 (2023)).

Ma et al. [Phys. Rev. Lett. 118, (2017) 027402] have suggested that water molecules encapsulated in (6,5) single-wall carbon nanotube experience a temperature-induced quasiphase transition around 150 K interpreted as changes in the water dipoles orientation. We discuss further this temperature-driven quasiphase transition performing quantum chemical calculations and molecular dynamics simulations and, most importantly, suggesting a simple lattice model to reproduce the properties of the one-dimensional confined finite arrays of water molecules. The lattice model takes into account not only the short-range and long-range interactions but also the rotations in a narrow tube, and both ingredients provide an explanation for a temperature-driven orientational ordering of the water molecules, which persists within a relatively wide temperature range. The same approach is used to examine a single-file chain of ammonia molecules in a carbon nanotube. To this end, we perform molecular dynamics simulations using the charges for ammonia nitrogen and hydrogen obtained from quantum chemistry. The lattice-model is applied for ammonia as well. Our findings demonstrate the occurrence of the orientational quasiorder of the ammonia dipoles, which become parallel to the tube axis, at intermediate temperatures below 100 K (M. Druchok, V. Krasnov, T. Krokhmalskii, T. Cardoso e Bufalo, S.M. de Souza, O. Rojas, O. Derzhko, J. Chem. Phys., 158, 104304 (2023); M.Druchok, V. Krasnov, T. Krokhmalskii, O. Derzhko, J. Mol. Liq., 387, 122633 (2023)).

Snapshots of N = 11 water molecules encapsulated in a carbon nanotube of chirality (6,5) at temperature T = 10 K.

Quantum chemistry predictions for a confined chain of N = 10 ammonia molecules in a carbon nanotube.
The thermal phase transitions of a spin-1/2 Ising-Heisenberg model on the diamond-decorated square lattice in a magnetic field are investigated using a decoration-iteration transformation and classical Monte Carlo simulations. A generalized decoration-iteration transformation maps this model exactly onto an effective classical Ising model on the square lattice with temperature-dependent effective nearest-neighbor interactions and magnetic field strength. The effective field vanishes along a ground-state phase boundary of the original model, separating a ferrimagnetic and a quantum monomer-dimer phase. At finite temperatures this phase boundary gives rise to an exactly solvable surface of discontinuous (first-order) phase transitions, which terminates in a line of Ising critical points. The existence of discontinuous reentrant phase transitions within a narrow parameter regime is reported and explained in terms of the low-energy excitations from both phases. These exact results, obtained from the mapping to the zero-field effective Ising model, are corroborated by classical Monte Carlo simulations of the effective model (J. Strečka, K. Karl'ová, T. Verkholyak, N. Caci, S. Wessel, A. Honecker, Phys. Rev. B, 107, 134402 (2023)).

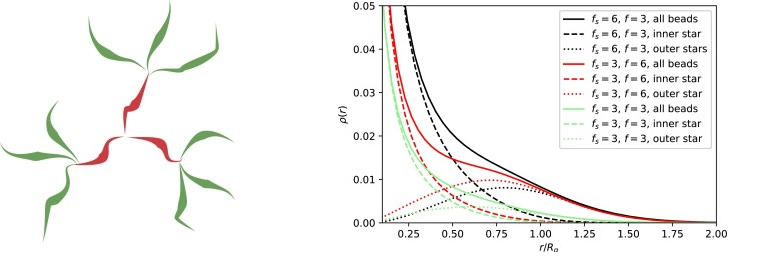
The conformational properties of a multi-branched polymer structure with a dendrimer-like topology, known as a snowflake polymer, have been studied. This polymer is characterized by two parameters: fs, which represents the functionality of the central star-like core, and f, which represents the functionality of the side branching points. To analyze the conformational properties, we have employed various approaches, including analytical methods based on direct polymer renormalization and the Wei's approach as well as numerical molecular dynamics simulations. These methods have allowed us to estimate a size and shape characteristics of the snowflake polymer as functions of f and fs. Our findings consistently demonstrate the effective compactification of the typical polymer conformation as the number of branching points increases. Overall, our study provides valuable insights into the conformational behavior of the snowflake polymer and highlights the impact of branching parameters on its overall compactness (K. Haydukivska, V. Blavatska, Ja. Paturej, J. Mol. Liq., 392, 123430 (2023)).

Left: Schematic representation of a snowflake polymer with functionality of the central core fs = 3 and functionality of the side branching points f = 4. Right: Radial distributions ρ(r) of monomers as a function of distance r from the central monomer of a snowflake-shape polymer rescaled by the corresponding value of the radius of gyration Rg.
Quantum fluctuations and quantum chaos of the localized states in strongly correlated electronic systems have been studied. In particular, for the Falicov-Kimball model, which describes a system of the interacting itinerant and localized electronic states, the calculation of the out-of-time ordered correlation (OTOC) functions, which serve as a measure of the quantum information spreading/mixing, was carried out. Three regimes of the system behavior are distinguished. For small values of the Coulomb interaction, the system quickly becomes chaotic due to the thermal fluctuations. For the greater values of the Coulomb interaction, the logarithmic derivative (corresponding to the Lyapunov exponent) shows saturation oscillations, which can be associated with the Ruelle–Pollicott resonances for the stochastic dynamical systems. At larger Coulomb interaction, the system dynamics becomes complicated with the destruction of the Ruelle–Pollicott resonances at large times (A.M. Shvaika).






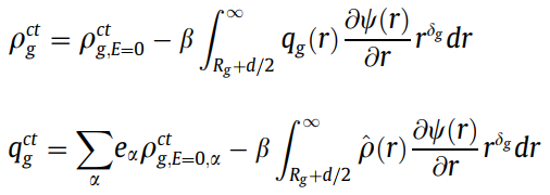
Starting from the Bogoliubov-Born–Green–Yvon equations of the liquid-state theory, we formulate two equivalent approaches for the calculation of the total density profile and of the charge density profile of ionic fluids near nonplanar charged surfaces. In the framework of these approaches, we establish exact conditions, that a particular point of these profiles should satisfy, in the form of contact theorems. These contact theorems for the total density profile and the charge density profile are obtained by direct integration of a system of equations derived from the Bogoliubov-Born–Green–Yvon equations. The contact theorems for both profiles have nonlocal character. It is shown that the contact value of the total density profile for uncharged surfaces is characterized by the bulk pressure and the surface tension. The contact theorems are applied to the cases of spherical and cylindrical surfaces (M. Holovko, V. Vlachy, D. di Caprio, J. Mol. Liq., 371, 121040 (2023)).

Contact theorem conditions for the density and charge density profile near spherical (δg=2), cylindrical (δg=1) and planar wall (δg=0).
The nonlinear response of the hexagonal Kitaev model induced by external electric fields is studied. Second-order response functions (susceptibilities) at finite temperatures are calculated using the equation of motion approach. The frequency dependencies of susceptibilities at different temperatures and values of the anisotropy parameter are constructed. It is shown that the nonlinear response at finite temperatures makes it possible to study the characteristic features of both types of elementary excitations. It has been confirmed that the method described in this study can be applied to the investigation of higher-order response functions in Kitaev magnets (O. Krupnitska, W. Brenig, Phys. Rev. B, 108, 075120 (2023)).


The comprehensive study of composite material combined from the host porous SiO2 matrix with 6 to 13 nm pore diameters and the guest benzil (C6H5CO)2 nanocrystals embedded into its nanochannels was carried out. The synthesis of guest nanosized organic benzil (C6H5CO)2 crystals within the mesoporous SiO2 host matrix was investigated via X-ray diffraction, transmission electron microscopy, micro-Raman spectroscopy, and ab initio lattice dynamics analysis. Combining these methods, we have proved that the main structural properties of benzil nanocrystals embedded into SiO2 host membranes with pore diameters of 6.0, 7.8, 9.4, and 13.0 nm are preserved compared to a bulk benzil crystal. The Raman mapping of the freshly broken edge of the SiO2:(C6H5CO)2 membrane proved that the benzil nanocrystals fill the pores along the entire length (see Figure 1 (a)). We aimed to design novel, efficient nonlinear optical composite materials in which inactive amorphous SiO2 host matrix provides a tubular scaffold structure, whereas nonlinear optical functionality results from specific properties of the deposited guest benzil-nanocrystals. It turns out that the synthesis of such composite materials is much simpler compared to the synthesis of bulk single-crystal samples without the significant loss of their nonlinear optical properties, which can be used in quantum electronic devices. The work is also important from a fundamental academic point of view, as it explains the impact of spatial confinement effect on the crystal structure and nonlinear optical properties of nanocrystals confined by the matrix pore walls (H. El Karout, Y. Shchur, A. Andrushchak, B. Sahraoui, R. Wielgosz, O. Kityk, J. Jędryka, Y. Slyvka, A.V. Kityk, Sci. Rep., 13, 9943 (2023)).



(a) Raman mapping of the freshly broken edge of SiO2:(C6H5CO)2 nanocomposite membranes with 6 nm pore diameter, mapping area is 110*21 μm2; (b) Raman spectra taken from SiO2:(C6H5CO)2 nanocomposites with different pore diameters, ranging from 6.0 to 13.0 nm; (c) square root of second harmonic generation intensity versus the channel diameter D. Inset in section (c) sketches nanocrystalline cluster morphology consisting of amorphous disordered shell, covering the silica channel wall, and crystalline core.
An examination of the visibility of Ukrainian Art and Humanities Research is conducted through quantitative analysis, focusing on the Scopus database for the period between 2012 and 2021. The study analyzes the diversity and total number of sources, as well as the geographic distribution of authors and citing authors, providing insights into the internationalization level of Ukrainian A&H research. Additionally, the study considers the topical spectrum and language usage to complete the overall picture. According to our findings, the publication patterns for Ukrainian A&H research exhibit dynamics comparable to those of other countries, showing a gradual increase in the total number of papers and sources. However, the citedness is lower than expected, and the share of publications in top-quartile sources is lower for the 2020-2021 period compared to previous years. The impact of internationally collaborative papers, especially those in English, is higher. Nevertheless, over half of all works remain uncited, likely due to the limited readership of the journals selected for publication (S. Nazarovets, O. Mryglod, Library Hi Tech, (2023)).
