Research / Annual reports / Main research results of the Institute for Condensed Matter Physics of NAS of Ukraine in 2024
Main research results of the Institute for Condensed Matter Physics of NAS of Ukraine in 2024
The success of colloidal semiconductor nanocrystals (NCs) in science and optoelectronics is inextricable from their surfaces. The functionalization of lead halide perovskite NCs1-5 poses a formidable challenge because of their structural lability, unlike the well-established covalent ligand capping of conventional semiconductor NCs6,7. We posited that the vast and facile molecular engineering of phospholipids as zwitterionic surfactants can deliver highly customized surface chemistries for metal halide NCs. Molecular dynamics simulations implied that ligand-NC surface affinity is primarily governed by the structure of the zwitterionic head group, particularly by the geometric fitness of the anionic and cationic moieties into the surface lattice sites, as corroborated by the nuclear magnetic resonance and Fourier-transform infrared spectroscopy data. Lattice-matched primary-ammonium phospholipids enhance the structural and colloidal integrity of hybrid organic-inorganic lead halide perovskites (FAPbBr3 and MAPbBr3 (FA, formamidinium; MA, methylammonium)) and lead-free metal halide NCs. The molecular structure of the organic ligand tail governs the long-term colloidal stability and compatibility with solvents of diverse polarity, from hydrocarbons to acetone and alcohols. These NCs exhibit photoluminescence quantum yield of more than 96% in solution and solids and minimal photoluminescence intermittency at the single particle level with an average ON fraction as high as 94%, as well as bright and high-purity (about 95%) single-photon emission (V. Morad, A. Stelmakh, M. Svyrydenko, L.G. Feld, S.C. Boehme, M. Aebli, J. Affolter, C.J. Kaul, N.J. Schrenker, S. Bals, Y. Sahin, D.N. Dirin, I. Cherniukh, G. Raino, A. Baumketner, M.V. Kovalenko, Nature, 626, No. 7999, 542-548 (2024), https://doi.org/10.1038/s41586-023-0693).

Ab initio simulations of a large system of 2400 particles of molten NaCl were used to investigate the behavior of collective mode dispersion beyond the hydrodynamic regime. In particular, the aim was to explain the unusually strong increase in the apparent speed of sound with wave number, which significantly exceeds the typical positive sound dispersion of 10%–25% observed in simple liquids. Dispersions of “bare” acoustic and optic modes in NaCl are compared with ab initio simulations of other ionic melts such as CuCl and LiBr, metallic liquid alloys such as Pb44Bi56 and Li4Tl, and the regular Lennard-Jones KrAr liquid simulated by classical molecular dynamics. Analytical expressions for the “bare” acoustic and optic branches of collective excitations help one to identify the impact of the high-frequency optic branch on the emergence of “fast sound” in binary melts. The findings show that in ionic melts, the high-frequency speed of sound is much larger than in the simple Lennard-Jones liquids and metallic melts, leading to an observed strong viscoelastic increase in the apparent speed of sound—more than double its adiabatic value (T. Bryk, A.P. Seitsonen, G. Ruocco, Journal of Chemical Physics, 161, 194503 (2024), https://doi.org/10.1063/5.0239921).

The polymer brush architecture of the end-tethered polymer molecules is one of the most widely used efficient methods to regulate interfacial interactions in colloidal systems found in live matter and manufactured materials. Emerging applications of polymer brush structures require solutions to new tasks in the control of interfacial interactions. The rapid development of live cell manufacturing relies on scalable and efficient cell harvesting methods. Stimuli-responsive surfaces made of surface-grafted poly(N-isopropylacrylamide) (PNIPAM) can bind and detach the adherent cell upon changes in temperature and have been used for cell growth and harvesting. The applications are limited by the requirement to satisfy a range of PNIPAM coating characteristics that depend on the dimensions of the integrin complex in the cell membrane and the basal surface. The analysis of the microstructured surfaces, when adhesive and disjoining functions of the microdomains are decoupled, shows that many limitations of PNIPAM one-component coatings can be avoided by using a much broader range of structural characteristics of the microstructured interfaces composed of alternating disjoining PNIPAM domains and adhesive polymeric domains with cell-affinity functional groups. Temperature-controlled reversible adhesion to such microstructured interfaces is studied here experimentally with model systems of solid spherical particles and by employing simulations for solid and soft membranes interacting with the microstructured surfaces to mimic interactions with soft and solid disk-like particles (R. Badenhorst, S. Makaev, D. Yaremchuk, Y. Sajjan, A. Sulimov, V.V. Reukov, N.V. Lavrik, J. Ilnytskyi, S. Minko, Langmuir, 40, No. 13, 7008-7020 (2024), https://doi.org/10.1021/acs.langmuir.4c00062).

A simple model for functionalized disordered porous media is proposed and the effects of confinement on self-association, percolation and phase behavior of a fluid of patchy particles are studied. The media are formed by randomly distributed hard-sphere obstacles fixed in space and decorated by a certain number of off-center square-well sites. The properties of the fluid of patchy particles, represented by the fluid of hard spheres each bearing a set of the off-center square-well sites, are studied using an appropriate combination of the scaled particle theory for the porous media, Wertheim's thermodynamic perturbation theory, and Flory-Stockmayer theory. To assess the accuracy of the theory a set of computer simulations have been performed. In general, predictions of the theory appeared to be in good agreement with the computer simulation results. Confinement and competition between the formation of bonds connecting the fluid particles, and connecting fluid particles and obstacles of the matrix, gave rise to a re-entrant phase behavior with three critical points and two separate regions of the liquid–gas phase coexistence (Y.V. Kalyuzhnyi, T. Patsahan, M. Holovko, P.T. Cummings, Nanoscale, 16, No. 9, 4668-4677 (2024), https://doi.org/10.1039/d3nr02866f).

Design of new drugs is a challenging process: a candidate molecule should satisfy multiple conditions to act properly and make the least side-effect – perfect candidates selectively attach to and influence only targets, leaving off-targets intact. The amount of experimental data about various properties of molecules constantly grows, promoting data-driven approaches. However, the applicability of typical predictive machine learning techniques can be substantially limited by a lack of experimental data about a particular target. For example, there are many known Thrombin inhibitors (acting as anticoagulants), but a very limited number of known Protein C inhibitors (coagulants). In this study, we present our approach to suggest new inhibitor candidates by building an effective representation of chemical space. For this aim, we developed a deep learning model—autoencoder, trained on a large set of molecules in the SMILES format to map the chemical space. Further, we applied different sampling strategies to generate novel coagulant candidates. Symmetrically, we tested our approach on anticoagulant candidates, where we were able to predict their inhibition towards Thrombin. We also compare our approach with MegaMolBART – another deep learning generative model, but exploiting similar principles of navigation in a chemical space (A. Rovenchak, M. Druchok, Journal of Computational Chemistry, 45, 937-952 (2024), https://doi.org/10.1002/jcc.27292).

Understanding what determines the rate (adaptation time) with which biological organisms evolve and how to control this process is an essential problem both in theory and practice (for example, in processes of slowing down the spread of antibiotic resistance in bacteria). In our study, we focus on the role of the fitness landscape and the mutation rate within the framework of the quasi-species model and applying some statistical physics approaches to facilitate the evolution processes in such model. We consider a stochastic version of the quasispecies model introducing a population of organisms replicating and dying stochastically. Each organism has a genotype represented by a binary sequence of length L. Upon replication, the organism produces either a copy of itself or a mutant, which can either viable with probability μ (mutation rate), or not-viable (lethal) with probability γ. We found, that the presence of lethal genotypes with γ>0 leads to essential decreasing the mean adaptation time of population and thus facilitate the evolution process. The same effects we gained by exploiting the methods of parallel tempering and Wang-Landau algorithms, making use of analogy between the temperature in ferromagnetic spin systems and mutation rate in our quasi-species model (V. Blavatska, B. Waclaw, Physical Review Research, 6, 013286 (2024), https://doi.org/10.1103/PhysRevResearch.6.013286).

a) Схематичне зображення простору станів генотипу, представлених бінарними послідовностями довжиною L=3, лінії представляють одноточкові мутації (переходи між цими станами), червоним кольором представлено летальні стани. b) Залежність середнього часу адаптації від імовірності γ переходу у летальний стан.
In the thermodynamic limit, the behavior of observables near the phase transition point above the upper critical dimension is described by mean-field theory. At the same time, finite-dimensional scaling, which describes the pseudo-critical behavior of finite-sized systems, and the hyperscaling relation, which connects universal scaling exponents to spatial dimensionality, break down. Recent works demonstrate that because the correlation length is not confined by the physical size of the system, as previously believed, but instead grows near the critical point at a faster rate, a new scaling theory emerges, defined by the scaling exponent ϙ (“koppa”). This Q-scaling has been observed in high-dimensional systems with periodic boundary conditions, particularly through computer simulations of the Ising model and percolation. The critical behavior of systems with free (open) boundary conditions was investigated. Computer experiments using cluster Monte Carlo methods showed that the surface's influence on small systems is significant, preventing accurate determination of scaling exponents. To address this, Lee-Yang zeros analysis was applied, based on the theorem stating that all partition function zeros for finite systems lie in the complex plane of the corresponding variables. This approach is more efficient for small systems, providing meaningful results with less computational effort. It was shown that systems with free boundary conditions exhibit two scaling regimes: Gaussian scaling at the infinite system’s critical point and Q-scaling at the pseudo-critical point for finite systems (Yu. Honchar, B. Berche, Yu. Holovatch, R. Kenna, Condensed Matter Physics, 27, No. 1, 13603, https://doi.org/10.5488/CMP.27.13603).

Finite-size scaling of the first Lee-Yang zero in the complex external magnetic field for the Ising model of a five-dimensional lattice with free boundary conditions. Despite a small deviation for smaller lattice sizes, the observed quantities, obtained from the numeric simulations and depicted by black dots, approach the asymptotic quickly, hinting towards the Q-scaling (red line is theoretical prediction, blue line is numerical results).
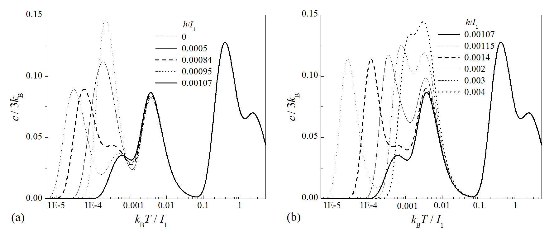
The ground state and thermodynamic characteristics of the spin-1/2 distorted diamond Ising–Heisenberg chain at a magnetic field were investigated in the antiferromagnetic-ferromagnetic and ferromagnetic-antiferromagnetic cases. This chain has an exact solution obtained using the transfer-matrix method. The ground state of the chain was found based on the eigenstates of the diamond cell Hamiltonian. In the case of the antiferromagnetic Ising interaction and the ferromagnetic XXZ Heisenberg interaction, there is no geometric spin frustration in the classical sense in this chain. For the given case, it is shown that quantum fluctuations give rise to effective geometric frustration. In the case of the ferromagnetic Ising interaction and the antiferromagnetic XXZ Heisenberg interaction, there is geometric spin frustration in the chain. The influence of quantum fluctuations and the distortion on the ground state, magnetic and thermal properties of the model are studied in detail. It is established that the zero-temperature magnetization curve may involve intermediate plateaus just at zero and 1/3 of the saturation magnetization. It is shown that the temperature dependence of the specific heat in the case of the antiferromagnetic Ising interaction and the ferromagnetic XXZ Heisenberg interaction can reveal up to four distinct peaks at zero magnetic field and up to five distinct peaks at a very weak magnetic field. The origin of the additional peaks of specific heat was explained based on the dominating thermal excitations (B.M. Lisnyi, Condensed Matter Physics, 27, 23703 (2024), https://doi.org/10.5488/CMP.27.23703; B.M. Lisnyi, Low Temperature Physics, 50, 527 (2024), https://doi.org/10.1063/10.0026258)

The semi-logarithmic plot of temperature dependencies of the specific heat for the ferromagnetic Heisenberg interaction J/I1 = -5, Δ = 1.3, the distortion parameter δ/I1 = 0.4811, and some selected values of the magnetic field h/I1.